| | | |

Pré-Cálculo

Ajude a manter o site livre, gratuito e sem propagandas. Colabore!

3.7 Operações com funções

3.7.1 Adição, subtração, multiplicação e divisão

Sejam dadas as funções f e g com domínio em comum D. Então, definimos as funções

  • (f±g)(x):=f(x)±g(x) para todo xD;

  • (fg)(x):=f(x)g(x) para todo xD;

  • (fg)(x):=f(x)g(x) para todo xD tal que g(x)0.

Exemplo 3.7.1.

Sejam f(x)=x2 e g(x)=x. Temos:

  1. a)

    (f+g)(x)=x2+x e está definida em toda parte.

    [Uncaptioned image]
  2. b)

    (gf)(x)=xx2 e está definida em toda parte.

    [Uncaptioned image]
  3. c)

    (fg)(x)=x3 e está definida em toda parte.

    [Uncaptioned image]
  4. d)

    (fg)(x)=x2x e tem domínio {0}101010Observemos que não podemos simplificar o x, pois a função y=x é diferente da função y=x2/x..

    [Uncaptioned image]

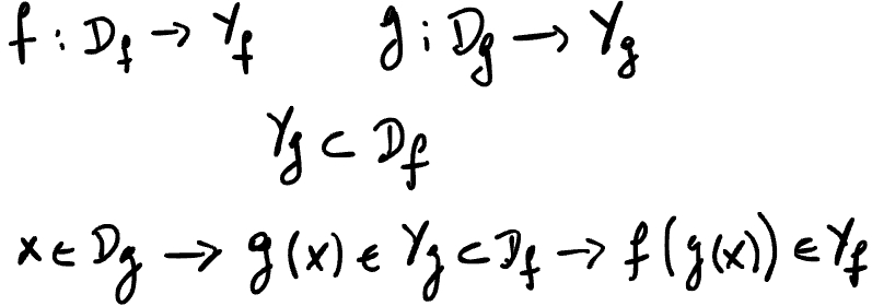
3.7.2 Composição de funções

Sejam dadas as funções f e g. Definimos a função composta de f com g por

(fg)(x):=f(g(x)). (3.146)

Seu domínio consiste dos valores de x que pertençam ao domínio da g e tal que g(x) pertença ao domínio da f (consultemos a Figura 3.32). Em notação matemática

Dfg={xDg:g(x)Df} (3.147)
Refer to caption
Figura 3.32: Diagrama ilustrando a composição de funções.
Exemplo 3.7.2.

Sejam f(x)=x2 e g(x)=x+1. A função composta de f com g é

(fg)(x)=f(g(x)) (3.148)
=f(x+1)=(x+1)2 (3.149)

Por outra sorte, a função composta de g com f é

(gf)(x)=g(f(x)) (3.150)
=g(x2)=x2+1 (3.151)

3.7.3 Translação, contração, dilatação e reflexão de gráficos

Algumas operações com funções produzem resultados bastante característicos no gráfico de funções. Com isso, podemos usar estas operações para construir gráficos de funções mais complicadas a partir de funções básicas.

3.7.4 Translação

Dada uma função f e uma constante k0, temos que a o gráfico de y=f(x)+k é uma translação vertical do gráfico de f. Se k>0, observamos uma translação vertical para cima. Se k<0, observamos uma translação vertical para baixo.

Exemplo 3.7.3.

Seja f(x)=x2. A Figura 3.33, contém os esboços dos gráficos de f(x) e f(x)+k=x2+k para k=1.

Refer to caption
Figura 3.33: Esboço do gráfico de f(x)=x2 e y=f(x)+k com k=1.

O seguinte código Python, faz os esboços dos gráficos de f(x) e f(x)+k:

1 import matplotlib.pyplot as plt
2 from sympy import *
3 plt.style.use('bmh')
4 x = Symbol('x')
5 k = 1
6 f = Lambda(x, x**2)
7 p = plot(f(x),(x,-2,2),line_color="gray",show=False)
8 q = plot(f(x)+k,(x,-2,2),line_color="blue",show=False)
9 p.extend(q)
10 p.title = (f"$k = {k}$")
11 p.xlabel = '$x$'
12 p.ylabel = '$y$'
13 p[0].label = "$f(x) = x^2$"
14 p[1].label = "$f(x)+k$"
15 p.legend = True
16 p.show()

Alterare o valor de k e a função f para analisar outros casos!

Translações horizontais de gráficos podem ser produzidas pela soma de uma constante não nula ao argumento da função. Mais precisamente, dada uma função f e uma constante k0, temos que o gráfico de y=f(x+k) é uma translação horizontal do gráfico de f em k unidades. Se k>0, observamos uma translação horizontal para a esquerda. Se k<0, observamos uma translação horizontal para a direita.

Exemplo 3.7.4.

Seja f(x)=x2. A Figura 3.34, contém os esboços dos gráficos de f(x) e f(x+k)=(x+k)2 para k=1.

Refer to caption
Figura 3.34: Esboço do gráfico de f(x)=x2 e f(x+k) com k=1.

O seguinte código Python, faz os esboços dos gráficos de f(x) e f(x+k):

1 import matplotlib.pyplot as plt
2 from sympy import *
3 plt.style.use('bmh')
4 x = Symbol('x')
5 k = 1
6 f = Lambda(x, x**2)
7 p = plot(f(x),(x,-3,3),line_color="gray",show=False)
8 q = plot(f(x+k),(x,-3,3),line_color="blue",show=False)
9 p.extend(q)
10 p.title = (f"$k = {k}$")
11 p.xlabel = '$x$'
12 p.ylabel = '$y$'
13 p[0].label = "$f(x) = x^2$"
14 p[1].label = "$f(x)+k$"
15 p.legend = True
16 p.show()

Altere o valor de k e a função f para analisar outros casos!

3.7.5 Dilatação e contração

Sejam dadas uma função f e uma constante α. Então, o gráfico de:

  • y=αf(x) é uma dilatação vertical do gráfico de f, quando α>1;

  • y=αf(x) é uma contração vertical do gráfico de f, quando 0<α<1;

  • y=f(αx) é uma contração horizontal do gráfico de f, quando α>1;

  • y=f(αx) é uma dilatação horizontal do gráfico de f, quando 0<α<1.

Exemplo 3.7.5.

Seja f(x)=x2. A Figura 3.35, contém os esboços dos gráficos de f(x) e (αf)(x)=αx2 para α=2.

Refer to caption
Figura 3.35: Esboço do gráfico de f(x)=x2 e (αf)(x) com α=2.

O seguinte código Python, faz os esboços dos gráficos de f(x) e (αf)(x):

1 import matplotlib.pyplot as plt
2 from sympy import *
3 plt.style.use('bmh')
4 x = Symbol('x')
5 alpha = 2
6 f = Lambda(x, x**2)
7 p = plot(f(x),(x,-2,2),line_color="gray",show=False)
8 q = plot(alpha * f(x),(x,-2,2),line_color="blue",show=False)
9 p.extend(q)
10 p.title = (f"$\\alpha = {alpha}$")
11 p.xlabel = '$x$'
12 p.ylabel = '$y$'
13 p[0].label = "$f(x) = x^2$"
14 p[1].label = "$(\\alpha\\cdot f)(x)$"
15 p.legend=True
16 p.show()

Alterare o valor de alpha e a função f para estudar outros casos!

Exemplo 3.7.6.

Seja f(x)=x3. A Figura 3.36, contém os esboços dos gráficos de f(x) e f(αx)=(αx)3 para α=12.

Refer to caption
Figura 3.36: Esboço do gráfico de f(x)=x3 e f(αx) com α=12.

O seguinte código Python, faz os esboços dos gráficos de f(x) e f(αx):

1 import matplotlib.pyplot as plt
2 from sympy import *
3 plt.style.use('bmh')
4 x = Symbol('x')
5 alpha = 0.5
6 f = Lambda(x, x**3)
7 p = plot(f(x),(x,-4,4),ylim=[-9,9],line_color="gray",show=False)
8 q = plot(f(alpha*x),(x,-4,4),ylim=[-9,9],line_color="blue",show=False)
9 p.extend(q)
10 p.title = (f"$\\alpha = {alpha}$")
11 p.xlabel = '$x$'
12 p.ylabel = '$y$'
13 p[0].label = "$f(x) = x^3$"
14 p[1].label = "$f(\\alpha\\cdot x)$"
15 p.legend=True
16 p.show()

Altere o valor de alpha e a função f para estudarmos outros casos!

3.7.6 Reflexão

Seja dada uma função f. O gráfico da função y=f(x) é uma reflexão em torno do eixo das abscissas do gráfico da função f. Já, o gráfico da função y=f(x) é uma reflexão em torno do eixo das ordenadas do gráfico da função f.

Exemplo 3.7.7.

Seja f(x)=x22x+2. A Figura 3.38, contém os esboços dos gráficos de f(x) e f(x)=x2+2x2.

Refer to caption
Figura 3.37: Gráfico de f(x)=x22x+2 e f(x).

O seguinte código Python, faz os esboços dos gráficos de f(x) e f(x):

1 import matplotlib.pyplot as plt
2 from sympy import *
3 plt.style.use('bmh')
4 x = Symbol('x')
5 f = Lambda(x, x**2-2*x+2)
6 p = plot(f(x),(x,-1,3),ylim=[-5,5],line_color="gray",show=False)
7 q = plot(-f(x),(x,-1,3),ylim=[-5,5],line_color="blue",show=False)
8 p.extend(q)
9 p.xlabel = '$x$'
10 p.ylabel = '$y$'
11 p[0].label = "$f(x)$"
12 p[1].label = "$-f(x)$"
13 p.legend=True
14 p.show()

Altere a função f para estudar outros casos!

Exemplo 3.7.8.

Seja f(x)=x22x+2. A Figura LABEL:fig:ex_refley, contém os esboços dos gráficos de f(x) e f(x)=x2+2x+2.

Refer to caption
Figura 3.38: Esboço do gráfico de f(x)=x22x+2 e f(x).

O seguinte código Python, faz os esboços dos gráficos de f(x) e f(x):

1 import matplotlib.pyplot as plt
2 from sympy import *
3 plt.style.use('bmh')
4 x = Symbol('x')
5 f = Lambda(x, x**2-2*x+2)
6 p = plot(f(x),(x,-1,3),line_color="gray",show=False)
7 q = plot(f(-x),(x,-3,1),line_color="blue",show=False)
8 p.extend(q)
9 q = plot(-1,(x,-3,3),line_color="",show=False)
10 p.extend(q)
11 p.xlabel = '$x$'
12 p.ylabel = '$y$'
13 p[0].label = "$f(x)$"
14 p[1].label = "$f(-x)$"
15 p.legend=True
16 p.show()

Altere a função f para estudar outros casos!

3.7.7 Exercícios resolvidos

ER 3.7.1.

Sejam

f(x)=x2x1xeg(x)=x2+1. (3.152)

Determine a função composta (fg) e seu domínio.

Resolução.

Começamos determinando a função composta

(fg)(x):=f(g(x)) (3.153)
=f(x2+1) (3.154)
=(x2+1)2x2+11x2+1 (3.155)
=x4+2x2+1x2x2+1 (3.156)
=x4+2x2+1|x|x2+1. (3.157)

Agora, observamos que g está definida em toda parte e tem imagem [1,). Como o domínio da f é [1,), temos que (fg) está definida em toda parte.

ER 3.7.2.

Faça o esboço do gráfico de f(x)=2(x1)3+1.

Resolução.

Começamos trançando o gráfico de f1(x)=x3. Então, obtemos o gráfico de f2(x)=(x1)3 por translação de uma unidade à direita. O gráfico de f3(x)=2(x1)3 é obtido por dilatação vertical de 2 vezes. Por fim, o gráfico de f4(x)=2(x1)3+1 é obtido por translação de uma unidade para cima. Veja a Figura 3.39.

Refer to caption
Refer to caption
Refer to caption
Figura 3.39: Construção do esboço do gráfico de f(x)=2(x1)3+1.
E. 3.7.1.

Determine o domínio e a imagem da função

f(x)=x21 (3.158)
Resolução.

A função f é a composição f=gh(x) das funções

g(x)=x (3.159)
h(x)=x21 (3.160)

A g têm domínio D(g)=(0,), enquanto que a h está definida em toda parte. Logo, para estar no domínio da f, precisamos que h(x)0, i.e.

x210 (3.161)

Fazendo o estudo de sinal da função h, concluímos que h(x) é positiva no conjunto (,1][1,). Concluímos que o domínio da função f é D(f)={x:x(1,1)}.

3.7.8 Exercícios

E. 3.7.2.

Dadas as funções f(x)=x2+2x e g(x)=1x21. Determine as seguintes funções e forneça seus respectivos domínios.

  1. a)

    (f+g)(x)

  2. b)

    (fg)(x)

  3. c)

    (fg)(x)

  4. d)

    (f÷g)(x)

a) (f+g)(x)=x4x2+2x32x+1x21, D=1,1; b) (f+g)(x)=x4x2+2x32x1x21, D=1,1; c) (fg)(x)=x2+2xx21, D=1,1; d) (f÷g)(x)=x4x2+2x32x, D={1,1}.

E. 3.7.3.

Seja f(x)=2xx1+x3. Escreva a regra e determine o domínio das seguintes funções:

  1. a)

    f(x)+1

  2. b)

    2f(x)

  3. c)

    f(2x)

  4. d)

    f(x)

a) f(x)+1=2xx1+x3+1, D=[1,); b) 2f(x)=2x+12x1+2x3, D=[1,); c) f(2x)=4x2x1+23x3, D=[12,); d) f(x)=2xx1x3, D=(,1]

E. 3.7.4.

Sejam f(x)=x+1 e g(x)=x21. Determine a função (fg) e seu domínio.

(fg)(x)=x21+1; domínio: (,1][1,).

E. 3.7.5.

Faça um esboço do gráfico de g(x)=2x31.

Dica: verifique sua resposta usando Python e SymPy.

E. 3.7.6.

Faça um esboço do gráfico de h(x)=1/(x2+2x+1).

Dica: verifique sua resposta usando Python e SymPy.


Envie seu comentário

Aproveito para agradecer a todas/os que de forma assídua ou esporádica contribuem enviando correções, sugestões e críticas!

Opcional. Preencha seu nome para que eu possa lhe contatar.
Opcional. Preencha seu e-mail para que eu possa lhe contatar.
As informações preenchidas são enviadas por e-mail para o desenvolvedor do site e tratadas de forma privada. Consulte a política de uso de dados para mais informações.

Licença Creative Commons
Este texto é disponibilizado nos termos da Licença Creative Commons Atribuição-CompartilhaIgual 4.0 Internacional. Ícones e elementos gráficos podem estar sujeitos a condições adicionais.

Pedro H A Konzen
| | | |